石家庄白求恩医学院|2026年招生简章|3+3升学班|石家庄白求恩医学中等专业学校
欢迎您!
学校招生热线 0311-85026756、13731109723微信号
0311-85026756
导航
首页
学校简介
招生简章
学校动态
招生就业
专业介绍
单招升学
对口升学
1+3预科
报名须知
招生问答
护理知识
网上报名
移动导航
学校简介
招生简章
学校动态
招生就业
专业介绍
单招升学
对口升学
1+3预科
报名须知
招生问答
护理知识
网上报名
当前位置:
首页
>
通知公告
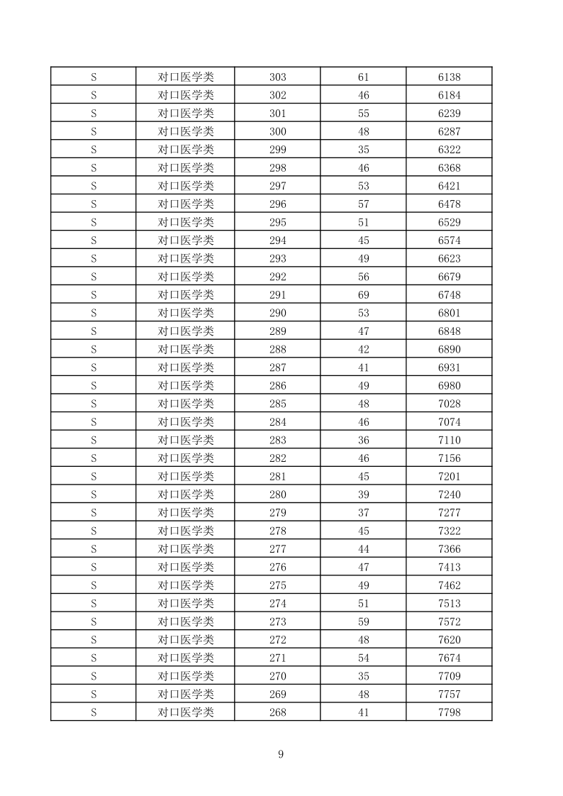
2023年河北省高职单招对口医学类考试成绩统计表
上一篇:
2023年河北高职单招考试七类一分一档表
下一篇:
展白求恩学子风采,塑白衣天使形象
参观学校预约
学校新闻
专业解读:河北省中考未达线想入护理专业,3+2和3+3模式在招生、学制、院校方面的区别
石家庄白求恩医学院2025年春季开学指南:新生报到的物品、资料与缴费须知
公开|石家庄白求恩医学院学生在校每天作息时间表
2025年春季石家庄白求恩医学院新生开学时间确定了
2025年春季石家庄白求恩医学院开学时间确定为:2025年春季2月18日也就是阴历正月二...
春招入学须知|石家庄白求恩医学院2025年新生入学所带资料
石家庄白求恩医学中等专业学校2025年春季新生入学须知 石家庄白求恩医学中...
官方版|石家庄白求恩医学院2026年春季招生简章
石家庄白求恩医学院2026年春季招生简章
石家庄白求恩医学院2025春季班护理专业招生电话